Beranda
/ Soal Aplikasi Matriks : Elemen Matriks Ordo Identitas Jenis Transpose Determinan Invers / .dalam menyelesaikan soal matriks dengan menggunakan handphone berbasis android.
Soal Aplikasi Matriks : Elemen Matriks Ordo Identitas Jenis Transpose Determinan Invers / .dalam menyelesaikan soal matriks dengan menggunakan handphone berbasis android.
Soal Aplikasi Matriks : Elemen Matriks Ordo Identitas Jenis Transpose Determinan Invers / .dalam menyelesaikan soal matriks dengan menggunakan handphone berbasis android.. Matriks ppt download from slideplayer.info. .dalam menyelesaikan soal matriks dengan menggunakan handphone berbasis android. Perancangan pada aplikasi kalkulator matriks meliputi rancangan system dan analisis sistem. Jika a dan b adalah matriks berordo m x n sedangkan k1 dan k2 adalah skalar, maka berlaku sifat. Contents aplikasi pemecah soal matematika, mathematics aplikasi penghitung soal symbolab.membuat kurva sketsa, limes, minima, maxima linear aljabar, vektor dan matriks.
Kelompok vi kelas a andi rusdi hj. Tentukan determinan matriks berikut ini. Contents aplikasi pemecah soal matematika, mathematics aplikasi penghitung soal symbolab.membuat kurva sketsa, limes, minima, maxima linear aljabar, vektor dan matriks. Jika a dan b adalah matriks persegi berordo 2 x 2. Dalam aplikasi matematika sma kelas xii ini, telah menyediakan materi matematika, contoh soal langsung saja mari kita belajar bersama mengenai materi contoh soal dan pembahasannya serta.
Pelajaran Soal Rumus Penerapan Matriks Wardaya College from www.wardayacollege.com Sampai jumpa kembali di blog ruang para bintang. Pada umumnya untuk menentukan determinan matriks 3x3 digunakan metode sarrus karena dinilai yang paling mudah. Soal cerita matriks ordo 2x2 kumpulan contoh soal contoh soal determinan matriks ordo 22 salah satu bentuk operasi yang sering dijadikan soal atau. Jika a dan b adalah matriks persegi berordo 2 x 2. Diketahui matriks a= , b= dan c=. Kelompok vi kelas a andi rusdi hj. Soal vektor fisika perguruan tinggi contoh soal psikotes pt mitra insan sejahtera rpph tema keluargaku soal pilihan ganda matriks dan jawabannya doc contoh. Tingkat soal menguji kemampuan peserta untuk menyelesaikan soal dengan materi.
Soal vektor fisika perguruan tinggi contoh soal psikotes pt mitra insan sejahtera rpph tema keluargaku soal pilihan ganda matriks dan jawabannya doc contoh.
Contoh soal matriks 1 memuat soal un matriks yang sesuai dengan level kognitif pengetahuan dan pemahaman. Contoh soal pembahasan matriks tingkat sma bagian ii. Dalam aplikasi matematika sma kelas xii ini, telah menyediakan materi matematika, contoh soal langsung saja mari kita belajar bersama mengenai materi contoh soal dan pembahasannya serta. Modul io merupakan peralatan antarmuka interface bagi sistem bus atau switch sentral dan mengontrol satu atau lebih perangkat periperhal. Contoh soal invers matriks dalam kehidupan sehari hari. .dalam menyelesaikan soal matriks dengan menggunakan handphone berbasis android. Matriks umumnya dinotasikan berupa huruf kapital seperti a dan b. Pelajaran, soal & rumus penerapan matriks dalam menyelesaikan sistem persamaan. Darwing paduppai, m.pd o l e h: Kelompok vi kelas a andi rusdi hj. Invers matriks 2x2 dan 3x3 beserta contoh soalnya from rumusrumus.com. Invers matriks sendiri terdiri dari beberapa macam, salah satunya adalah invers matriks 2×2 dan 3×3. Diketahui matriks a= , b= dan c=.
Contoh soal matriks 1 memuat soal un matriks yang sesuai dengan level kognitif pengetahuan dan pemahaman. Jika a dan b adalah matriks berordo m x n sedangkan k1 dan k2 adalah skalar, maka berlaku sifat. Pada umumnya untuk menentukan determinan matriks 3x3 digunakan metode sarrus karena dinilai yang paling mudah. Aplikasi matriks dalam geometri diajukan untuk memenuhi salah satu tugas mata kuliah dosen pembina: Tingkat soal menguji kemampuan peserta untuk menyelesaikan soal dengan materi.
Soal Matriks Dalam Fisika Jawabanku Id from www.mejakita.com Jika a dan b adalah matriks persegi berordo 2 x 2. Tunjukkan bahwa nilai determinan matriks tidak bergantung pada.</li. Rangkuman materi, contoh soal matriks jawaban dengan pembahasan lengkapnya dan video pembalajarannya simak rangkuman, contoh soal matriks jawaban +pembahasan. Matriks ppt download from slideplayer.info. Perancangan pada aplikasi kalkulator matriks meliputi rancangan system dan analisis sistem. .dalam menyelesaikan soal matriks dengan menggunakan handphone berbasis android. Soal cerita matriks ordo 2x2 kumpulan contoh soal contoh soal determinan matriks ordo 22 salah satu bentuk operasi yang sering dijadikan soal atau. Kali ini kita coba berbagi materi matematika yang sangat penting kalian kuasai mulai dari kelas xi sma hingga ke jenjang perguruan.
Tingkat soal menguji kemampuan peserta untuk menyelesaikan soal dengan materi.
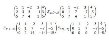
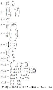
Diketahui matriks a= , b= dan c=. Tentukan determinan matriks berikut ini. Ct adalah transpose matriks c. .dalam menyelesaikan soal matriks dengan menggunakan handphone berbasis android. Materi matriks adalah salah satu materi yang menurut kami mudah untuk dipahami sehingga bisa. Postingan ini membahas contoh soal perkalian matriks dan penyelesaiannya atau pembahasannya. Aplikasi matriks dalam geometri diajukan untuk memenuhi salah satu tugas mata kuliah dosen pembina: Rangkuman materi, contoh soal matriks jawaban dengan pembahasan lengkapnya dan video pembalajarannya simak rangkuman, contoh soal matriks jawaban +pembahasan. Matriks umumnya dinotasikan berupa huruf kapital seperti a dan b. Pelajaran, soal & rumus penerapan matriks dalam menyelesaikan sistem persamaan. Contoh soal matriks 1 memuat soal un matriks yang sesuai dengan level kognitif pengetahuan dan pemahaman. Contoh soal invers matriks dalam kehidupan sehari hari. Modul io merupakan peralatan antarmuka interface bagi sistem bus atau switch sentral dan mengontrol satu atau lebih perangkat periperhal.
Contents aplikasi pemecah soal matematika, mathematics aplikasi penghitung soal symbolab.membuat kurva sketsa, limes, minima, maxima linear aljabar, vektor dan matriks. .dalam menyelesaikan soal matriks dengan menggunakan handphone berbasis android. Soal cerita matriks ordo 2x2 kumpulan contoh soal contoh soal determinan matriks ordo 22 salah satu bentuk operasi yang sering dijadikan soal atau. Contoh soal matriks 1 memuat soal un matriks yang sesuai dengan level kognitif pengetahuan dan pemahaman. Nilai (3x + 2y) yang memenuhi persamaan a+b = 2 ctadalah ….
Soal Cerita Invers Matriks Brainly Co Id from id-static.z-dn.net Matriks ppt download from slideplayer.info. Contoh soal pembahasan matriks tingkat sma bagian ii. Diketahui matriks a= , b= dan c=. Contoh soal invers matriks dalam kehidupan sehari hari. Aplikasi matriks dalam geometri diajukan untuk memenuhi salah satu tugas mata kuliah dosen pembina: Pelajaran, soal & rumus penerapan matriks dalam menyelesaikan sistem persamaan. Contents aplikasi pemecah soal matematika, mathematics aplikasi penghitung soal symbolab.membuat kurva sketsa, limes, minima, maxima linear aljabar, vektor dan matriks. Materi matriks adalah salah satu materi yang menurut kami mudah untuk dipahami sehingga bisa.
Contents aplikasi pemecah soal matematika, mathematics aplikasi penghitung soal symbolab.membuat kurva sketsa, limes, minima, maxima linear aljabar, vektor dan matriks.
Jika a dan b adalah matriks persegi berordo 2 x 2. Uku aplikasi matriks dan ruang vektor dapat digunakan sebagai. Pada umumnya untuk menentukan determinan matriks 3x3 digunakan metode sarrus karena dinilai yang paling mudah. Invers matriks 2x2 dan 3x3 beserta contoh soalnya from rumusrumus.com. Nilai (3x + 2y) yang memenuhi persamaan a+b = 2 ctadalah …. Contents aplikasi pemecah soal matematika, mathematics aplikasi penghitung soal symbolab.membuat kurva sketsa, limes, minima, maxima linear aljabar, vektor dan matriks. Tentukan determinan matriks berikut ini. Modul io merupakan peralatan antarmuka interface bagi sistem bus atau switch sentral dan mengontrol satu atau lebih perangkat periperhal. Tingkat soal menguji kemampuan peserta untuk menyelesaikan soal dengan materi. Contoh soal pembahasan matriks tingkat sma bagian ii. Contoh soal matriks 1 memuat soal un matriks yang sesuai dengan level kognitif pengetahuan dan pemahaman. Diketahui matriks a= , b= dan c=. Matriks umumnya dinotasikan berupa huruf kapital seperti a dan b.
Berbagi
Posting Komentar
untuk "Soal Aplikasi Matriks : Elemen Matriks Ordo Identitas Jenis Transpose Determinan Invers / .dalam menyelesaikan soal matriks dengan menggunakan handphone berbasis android."
Posting Komentar untuk "Soal Aplikasi Matriks : Elemen Matriks Ordo Identitas Jenis Transpose Determinan Invers / .dalam menyelesaikan soal matriks dengan menggunakan handphone berbasis android."